価格表(PDF) - ビデオクラシックス

ビデオクラシックス 価格表
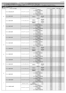
カメラ カメラ
マン
台数 人数
パターン
オーケストラ、 ①
吹奏楽向け
小編成オケ、 ②
合唱向け
室内楽
(ピアノ有)
向け
ピアノ独奏
向け
③
④
基本料 オプション (税込)
(税込)
A
6
2
151,200円
B
5
2
140,400円
A
6
2
129,600円
B
5
2
118,800円
C
4
1
97,200円
D
3
1
86,400円
C
4
1
64,800円
D
3
1
54,000円
E
2
1
43,200円
C
4
1
64,800円
D
3
1
54,000円
E
2
1
43,200円
DVD
ディスク代
DVD
ジャケット
レーベル
デザイン&プリント
+
BD
(ブルーレィ)
制作
CD制作
1,620円
・1枚あたりの金額です。(お申込み枚数分の費用が必要です)
・ジャケット無し&モノクロ・テキストのみによるレーベル&5mm厚プラケースでよい
場合は、下記のジャケット/レーベルのデザイン&プリント料は不要です。
21,600円
・カラージャケットおよびレーベルをデザイン&印刷する場合の費用です。
・ディスク1枚組の場合の1件あたりの金額です。 ディスク枚数は関係ありません。
(100枚以上の場合は別途ご相談させていただく場合があります)
・複数枚組の場合は別途加算。詳細はお見積もり申し上げます。
×ディスク枚数
10,800円
(オーサリング料一式)
+
2,160円×ディスク枚数
10,800円
(編集・オーサリング料一式)
+
1,080円×ディスク枚数
・収録したフルハイビジョンの高画質・高音質をそのままBDプレーヤーやBDレコー
ダーでお楽しみいただけるBDビデオディスクを制作する場合の価格です。
・ジャケット&レーベルデザイン、ケースがDVDと同じ場合は、代金はDVDの
デザイン料に含みますが、専用に制作した場合は、別途となります。
・DVDと同じ音源を使用しCDを制作する場合の価格です。
・2枚組以上になる場合は、別途加算。
・ジャケット無し、モノクロテキストレーベル印刷、5mm厚プラケース入れとなります。
・ジャケット&レーベルデザインをCD専用にする場合は、別途費用となります。
オープニング
&エンディング
映像制作
32,400円
・本番当日のリハーサル風景、ロビーや受付、舞台裏の様子、ホール外観など、
および出演者のお名前などで構成したオープニング&エンディング映像を制作
する場合の一式の費用です。
・制作時間や内容によっては、別途追加費用が発生する場合があります。
・遠隔地や本番当日以外での収録の場合は追加費用をいただきます。
YouTube
アップ
2,700円
・収録した映像の一部、または全部をYouTubeにアップする場合の、1件分の費用です。
(アップする映像の時間は関係ありません。長くても短くてもこの費用です)
・YouTubeにアップするための最適な状態に編集・調整したデータを作成し、
ご指定のアカウントにアップロードするか、データ納品とさせていただきます。
※基本料についての補足・追加料金など
×アップ件数
・「基本料」とは、撮影、編集、納品に関するオプション以外の費用一式のことで、基本的に通常の演奏会(本番が2時間前後)を収録・編集する場合のものです。
・よって、演奏会の時間が長く、複数枚・組になる場合は、「追加マスター編集代」として、2組目から1組あたり10,800円(税込)をいただきます。
・また、本番の撮影および、当日の拘束時間が長くなる場合には「追加基本料」をいただく場合があります。
・基本料のみのご依頼の場合は1枚のマスターディスクの納品となり、基本料に32,400円(税込)(①、②)、10,800円(税別)(③、④)を加算させていただきます。
・遠隔地の場合の出張費(実費)を別途いただきます。
(遠隔地とは、基本的に東京23区、神奈川県東部、千葉県の一部(松戸市、船橋市あたりまで)以外とさせていただきます)
・お支払いの振込手数料はご負担ください。