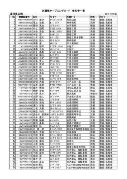
選抜オープニングロードレース申込状況

26選抜オープニングロード 参加申込状況 ver.2015-0208
NO
1
2
3
4
5
6
7
8
9
10
11
12
13
14
15
16
17
18
19
20
21
22
23
24
25
26
27
28
29
30
31
32
33
34
35
36
37
38
39
40
41
42
43
44
45
46
47
48
49
50
登録証番号
(半角)
02MY1400844
28MJ1300822
07MY1301204
28MY1400981
28MY1401281
28MY1400980
28MY1400982
23MY1401406
07MY1401629
11MY1400953
11MY1400954
43MJ1301362
43MJ1301363
43MU1401334
43MU1401335
43MU1401336
43MU1401337
24MY1400996
24MJ1300827
24MY1300362
23MY1301338
02MJ1300838
02MY1401161
11MY1301701
11MY1400717
14MY1401372
07MY1401618
26MJ1301049
26MJ1301050
26MJ1301048
26MY1100608
27MJ1300702
27MY1401103
33MY1401326
27MY1400077
10MY1400973
10MY1400968
38MY1400155
20MY1300963
26MJ1402222
99999999999
33MJ1301010
33MJ1301008
10MJ1300809
10MY1400962
27MJ1300854
氏 名
(全角)
川村 雄介
尾上 悠真
藤田 篤史
村上 翔馬
大谷 昂史
中谷 空
八木 佑太
武雄 龍人
伊藤 奎
山﨑 耕平
伊藤 元弥
松永 泰希
大津 拓也
滿田 光紀
河島 貴人
岩本 希望
冨吉 誠
菅原 悠斗
山本 英弘
山田 諒
小林 宣基
岩切 大知
山本 真寛
藤井 雅樹
保野 智也
小野 寛斗
水野 槙人
湯浅 健生
武田 悠佑
溝口 智貴
三宅 大春
植益 和行
長谷川 聖汰郎
今井 康太
間瀬 勝義
篠田 幸希
栗原 諒
平林 飛都
北 祐一郎
藤木 大嗣
佐藤 健
大橋 孝幸
石崎 和樹
久保 徹浩
上原 拓馬
古川 智也
フリ ガナ
(半角)
カワムラ ユウスケ
オノエ ユウマ
フジタ アツシ
ムラカミ ショウマ
オオタニ コウスケ
ナカタニ ソラ
ヤギ ユウタ
タケオ リュウト
イトウ ケイ
ヤマザキ コウヘイ
イトウ ゲンヤ
マツナガ タイキ
オオツ タクヤ
ミツタ コウキ
カワシマ タカト
イワモト ノゾミ
トミヨシ マコト
スガワラ ユウト
ヤマモト ヒデヒロ
ヤマダ リョウ
コバヤシ ノブキ
イワキリ タイチ
ヤマモト マサヒロ
フジイ マサキ
ヤスノ トモヤ
オノ ヒロト
ミズノ マキト
ユアサ タツキ
タケダ ユウスケ
ミゾグチ トモキ
ミヤケ タイシュン
ウエマス カズユキ
ハセガワ セイタロウ
イマイ コウタ
マセ カツヨシ
シノダ コウキ
クリハラ リョウ
ヒラバヤシ タカト
キタ ユウイチロウ
フジキ ダイジ
サトウ ケン
オオハシ タカユキ
イシザキ カズキ
クボ テツヒロ
ウエハラ タクマ
フルカワ トモヤ
所属チーム
青森山田
神崎高校
白河実業
飾磨工業
飾磨工業
飾磨工業
飾磨工業多部制
朝明高校
平工業高校
川越工
川越工
千原台高校
千原台高校
千原台高校
千原台高校
千原台高校
千原台高校
岐阜第一
岐阜第一
岐阜第一
暁高等学校
八戸工大一高
八戸工大一高
浦和工業高校
浦和工業高校
横浜高校
学法石川高校
北桑田高校
北桑田高校
北桑田高校
北桑田高校
興國高等学校
興國高等学校
興陽高校
佐野工科
前橋工業高校
前橋工業高校
INFINITY
登録
府県
参加
カテゴリー
青森
登録/高校生
兵庫
登録/高校生
福島
登録/高校生
兵庫
登録/高校生
兵庫
登録/高校生
兵庫
登録/高校生
兵庫
登録/高校生
三重
登録/高校生
福島
登録/高校生
埼玉
登録/高校生
埼玉
登録/高校生
熊本
登録/高校生
熊本
登録/高校生
熊本
登録/高校生
熊本
登録/高校生
熊本
登録/高校生
熊本
登録/高校生
岐阜
登録/高校生
岐阜
登録/高校生
岐阜
登録/高校生
三重
登録/高校生
青森
登録/高校生
青森
登録/高校生
埼玉
登録/高校生
埼玉
登録/高校生
神奈川 登録/高校生
福島
登録/高校生
京都
登録/高校生
京都
登録/高校生
京都
登録/高校生
京都
登録/高校生
大阪
登録/高校生
大阪
登録/高校生
岡山
登録/高校生
大阪
登録/高校生
群馬
登録/高校生
群馬
登録/高校生
愛媛
登録/中学生
福井県立科学技術高校 福井
登録/高校生
北稜高校
京都
登録/高校生
飯塚日新館中学校 福岡
未登録/中学生
水島工業高校
岡山
水島工業高校
岡山
高崎工
群馬
登録/高校生
高崎工
群馬
登録/高校生
城東工科高等学校 大阪
登録/高校生